服务热线:15195518515在线客服:1464856260
传真号码:0517-86801009
邮箱号码:1464856260@qq.com
网 址:http://www.j357b.cn
地 址:江苏省金湖县理士大道61号
磁翻板液位计与差压液位计在氨罐测量中的应用
发布时间:2021-01-22 15:16:05??点击次数:2361次
江苏淮河化工有限公司2#~6#氨罐(卧式储罐)液位显示不准,受环境温度影响大,不利于生产成本的有效控制及绩效考核。氨罐液位测量配置了现场磁翻板液位计以及远传差压液位计,目前生产中主要靠现场磁翻板液位计得出读数后,查液位吨位对照表得库存量*为不便。
1、2种液位计误差来源分析
1.1磁翻板液位计原理及误差来源
磁翻板液位计与氨罐旁通管相连接,罐与旁通管之间组成了1个U形管,其关系式为:
h1×d1=h2×d2 (1)
式中:h1---氨罐内液氨的液位;
d1---氨罐内液氨的密度;
h2---磁翻板内的液位;
d2---磁翻板内液氨的密度。
通常情况下,氨罐内液氨温度t1等于旁通管内液氨温度t2,即d1=d2,则h1=h2,则通过磁翻板液位h2便可知h1;但是,磁翻板液位计受环境温度影响大,因t1≠t2,则d1≠d2,于是h1≠h2,使磁翻板液位计误差产生,受环境温度影响大。

1.2差压液位计及误差来源
差压液位计是基于液体连通器原理和液体静压力原理来测量液体的液位,其测量系统示意如图1所示。其关系式为:
H=△P/(Q液氨-Q硅油)+H0 (2)
式中:△P---差压计测量的差压;
Q液氨---液氨密度;
Q硅油---硅油密度,随环境温度变化小,取0.93;
H0---差压液位计的安装高度。
由式(2)可看出,差压液位计主要误差来源于△P,Q液氨和H0。
2、改进方案
通过以上误差的来源分析,分别对目前使用的2种液位计进行如下调整。
2.1磁翻板液位计
由于磁翻板液位计受温度影响较大,尤其是磁翻板保温不好,误差*大,不能准确计量每班产量,白班(8h)*大误差达8~9t;但磁翻板液位计容易安装和维修,易于对磁翻板标尺的零点进行校正,便于观察液面变化,故保留原来磁翻板液位计,并进行重新保温,仅作参考。
2.2差压液位计
差压液位计主要误差来源于△P,Q液氨和H0,因△P误差主要来源于差压计本身的误差,如产品合格,误差在可接受范围之内,故需要修正的是差压液位计的安装高度H0以及液氨密度Q液氨。
2.2.1安装高度H0
通过实际测量,2#~6#氨罐差压液位计安装在磁翻板液位计双法兰下法兰位置,低于氨罐位置,即H0为负数。2#~6#氨罐差压液位计的安装高度分别为-17,-15,-15,-15和-15cm。
2.2.2液氨密度Q液氨
因液氨密度受温度影响大,且每个氨罐的保温效果也有差异,故如需准确测量氨罐液位,必须引入温度测量。对2#~6#氨罐分别进行卸压,并引入热电偶远传至DCS系统,对密度进行修正,修正公式为Q液=0.639-0.00145t。经过以上修正,2#~6#氨罐液位修正计算公式如表1所示。

2.3用差压测量的液位来计量氨罐吨位
通过对差压液位计的液氨密度和安装高度进行修正后,差压液位计的液位值可信,但是每班产量仍然按照氨罐液位对照表来计量产量。氨罐液位对照表中的吨位是基于某一固定温度下(原计算按20℃下)的密度计算所得,故仍然不能准确计量氨罐中的液氨质量。
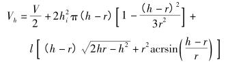
根据质量计算公式m=QV可知,需能找到不同液位H下对应的体积V,然后乘以温度修正过的液氨密度Q液氨,即得出准确的氨罐吨位。通过查阅相关资料,卧式氨罐体积V与高度H可用下式进行计算:

式中:V---液氨储罐总体积;
h---液位计高度;
hi---椭圆墙头内高度(不包括直边高度);
r---贮槽内半径;
l---贮槽圆柱体部分长度;
Vh---对应h高度贮槽体积。
将2#~6#氨罐尺寸代入上式后,体积就与氨罐的液位一一对应了,液位由差压液位计进行测量,*终求得体积。
2#氨罐体积公式:
V=503.534291675*(1-(H-1.5)^2/6.75)*(H-1.5)+13.2*((H-1.5)*(2*H*1.5-H^2)^0.5+2.25*(ASIN((H-1.5)/1.5)))
3#~6#氨罐体积公式均为:
V=504.021238592*(1-(H-1.6)^2/7.68)*(H-1.6)+11.38*((H-1.6)*(2*H*1.6-H^2)^0.5+2.56*(ASIN((H-1.6)/1.6)))
将上式在写入DCS组态中,至此所有工作完成。
3、效果验证
2015年12月2日白班,2#~6#氨罐测温点全部安装完成,白班即投入使用。当班售氨过磅计量为46.2t,DCS上显示氨罐液氨吨位下降了47.2t左右,误差≤2.16%,属于可接受范围。由此可见,修正后的DCS显示液氨吨位较磁翻板液位计更精确,同时可在DCS系统直接读出液位,无需再对表,降低了操作人员的劳动强度。



|