服务热线:15195518515在线客服:1464856260
传真号码:0517-86801009
邮箱号码:1464856260@qq.com
网 址:http://www.j357b.cn
地 址:江苏省金湖县理士大道61号
防腐磁翻板液位计电流输出压灵敏度测量结果的不确定度评定
摘要:介绍了一种直接测量防腐磁翻板液位计电流输出声压灵敏度的不确定度评定方法,对频率 1000Hz、声压级84. 0dB 时的防腐磁翻板液位计电流输出声压灵敏度的测量不确定度进行评定,得到测量结果的扩展不确定度 为0. 0011mA/dB( k = 2) ,为防腐磁翻板液位计电流输出声压灵敏度的准确校准提供了技术参考。
引言
防腐磁翻板液位计是由测量传声器与精密测量电路(适配器) 集成在一起的测量设备,将测量的声音信号转换为 4 ~ 20mA 电流,可直接与 DCS( Distributed Control System) 系统、PLC(Programmable Logic Con- troller) 或其他设备相连接,用来测量风机、电动机或水泵等设备的噪声情况。
目前国内对该类防腐磁翻板液位计的灵敏度常采用间接测量或与二次仪表配套进行系统测量两种方式进行校准,尚未采用直接测量的方式对防腐磁翻板液位计的电流输出声压灵敏度进行校准。实际工作中,由于二次仪表或工业 PLC模块都固定在设备的集成模块中,体积大,集成化程度高,不方便携带送 检,通常用户仅单独送检防腐磁翻板液位计,因此,仅对防腐磁翻板液位计进行单独校准的必要性十分明显,同时直接测量的校准方式减少了测量过程中的不确定度影响因素,有效提高了测量准确度。
1 概述
1. 1 测量标准
主要测量设备与 JJG 188-2017《声级计》中要求一致,增加数字电流表: 在 20 ~ 8000Hz 范围内,测量不确定度不大于 1. 0% ( k = 2) 。
1. 2 被测对象
防腐磁翻板液位计,测量范围为 20 ~ 8000Hz; 输出范围为 4 ~ 20mA。
1. 3 测量方法
在每一个校准频率点上,信号发生器发出电信号,使声源或耦合腔产生给定频率、给定幅度的声输出,利用实验室标准传声器或等效的同准确度等级的声压级测量装置对声场参考位置处的标准声压级进行测量并记录,保持声信号频率和幅度不变,将被校防腐磁翻板液位计置于参考位置上,并保证防腐磁翻板液位计传声器的参考点位置与实验室标准传声器参考点原先的位置相同。利用数字电流表读取并记录防腐磁翻板液位计的直流信号输出,由防腐磁翻板液位计输出的电流值与测定的声压级计算出各个频率点下的声压灵敏度。
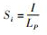
2 测量模型
2. 1 测量模型

式中: Si 为给定频率点处,防腐磁翻板液位计电流输出的声压灵敏度; I 为数字电流表测得的电流值; LP为参考位置处的标准声压级。
2. 2 不确定度传播率
由于上述各输入量之间相互独立,测量模型中仅包含输入量的积和商,合成不确定度的表达式为:

3 不确定度评定
对频率 1000Hz、声压级 84. 0dB 时的防腐磁翻板液位计电流输出声压灵敏度的测量不确定度进行评定。
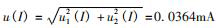
3. 1 电流测量值引入的标准不确定度 u( I)
3. 1. 1 输出电流测量重复性引入的标准不确定度u1 (I)
用 A 类标准不确定度评定。对防腐磁翻板液位计电流输出进行 6 次测量,电流输出的测量结果为: 14. 28,14. 39,14. 33,14. 34,14. 31,14. 33 ( mA) ,平均值为 14. 330mA,标准偏差为 0. 0363mA。
实际校准过程中以单次电流测量值作为校准结果,则输出电流测量重复性引入的不确定度可用单次实验标准偏差代替,则:

3. 1. 2 数字电流表示值误差引入的标准不确定度u2 (I)
用 B 类标准不确定度评定。根据数字电流表校准**,数字电流表电流输出的扩展不确定度为0. 0003mA,k = 2,则:
u2 ( I) = 0. 0003 /2≈0. 0002mA
数字电流表分辨力引入的不确定度分量非常小,且环境条件对电流表示值的影响也非常小,两者均可忽略不计,因此电流测量值引入的不确定度为:

3. 2 标准声压级引入的标准不确定度分量 u( LP )
3. 2. 1 标准传声器灵敏度级校准引入的标准不确
定度 u1 ( LP ) 用 B 类标准不确定度评定。根据标准传声器检定**,标准传声器声压灵敏度级在 1kHz 时的扩展不确定度为 U = 0. 05dB,k = 2,则其对应的标准不确定度为:
u1 ( LP ) = 0. 05 /2 = 0. 025dB
3. 2. 2 声校准器校准值引入的标准不 确定度u2 (LP)
用 B 类标准不确定度评定。声校准器*大允许误差为 ± 0. 15dB,以均匀分布考虑,其半宽区间为0.15dB,取 k =/3,则:
u2 ( LP ) = 0. 15 /3 = 0. 087dB
声校准器校准值引入的不确定度分量应包含静压修正和腔体修正( 如适用) 引入的不确定度分量,因此后两者不再重复计算。
3. 2. 3 声学分析仪测量放大器示值误差引入的标准不确定度 u3(LP)
用 B 类标准不确定度评定。测量放大器示值误差优于±0.05dB,以均匀分布考虑,其半宽区间为 0. 05dB,取 k =/3,则:
u3 ( LP ) = 0. 05 //3≈0. 029dB
3. 2. 4 前置放大器传输损失引入的标准不确定度u4 (LP)
用 B 类标准不确定度评定。前置放大器传输损失优于± 0.1dB,以均匀分布考虑,其半宽区间为0.1dB,取 k =/3,则:
u4 ( LP ) = 0. 1 //3≈0. 058dB
3. 2. 5 校准空间位置互换引入的标准不确定度u5 (LP)
用 B 类标准不确定度评定。根据规范中的校准方法,在自由声场和低频耦合腔中进行校准时,标准传声器系统与被测仪器的空间位置会发生一定的偏移,这类空间位置互换产生的偏移会造成测试声源与传声器膜片的空间距离和入射角度等发生变化,且每次进行校准时,被测仪器与测试声源间的测试距离也发生变化,这里假设其半宽区间0. 1dB,按均匀分布考虑,取 k =/3,则:
u5 ( LP ) = 0. 1 //3≈0. 058dB
3. 2. 6 声场修正引入的标准不确定度 u6 (LP)
用 B 类标准不确定度评定。根据 IEC/T S61094- 7-2006 中给出的实验室标准传声器压力场灵敏度级和自由场灵敏度级间的修正因子及测量不确定度数据,考虑到实际校准过程中,消声箱内环境及空气声吸收等各种因素的影响,在自由场校准时应引入由自由场修正带来的测量不确定度,1000Hz 时,按均匀分布考虑,取包含因子 k =/3,则:
u6 ( LP ) = 0. 1 //3≈0. 058dB
3. 2. 7 环境条件变化引入的标准不确定度 u7 ( LP )
用 B 类标准不确定度评定。根 据 JJG 175-2015 附录 D 中给出的实验数据,可直接引用环境条件变化引入的标准不确定度分量,1000Hz 时:
u7 ( LP ) = 0. 012dB
3. 2. 8 数据修约引入的标准不确定度 u8 ( LP ) 用 B 类标准不确定度评定。这里假设其半宽区间为0.05dB,按均匀分布考虑,取包含因子 k =/3,则: u8 ( LP ) = 0. 05/3≈0.029dB因此,标准声压级引入的标准不确定度分量为:

3. 3 标准不确定度分量表
不确定度各分量汇总如表 1 所示。

U = kuc = 0. 0011mA/dB
因此,防腐磁翻板液位计 1000Hz、声压级 84. 0dB 时电流输出的声压灵敏度为 0. 1230mA/dB,测量结果的扩展不确定度为 0. 0011mA/dB。
4 结论
本文介绍了一种直接测量防腐磁翻板液位计电流输出声压灵敏度的不确定度评定方法,阐述了电流输出声压灵敏度的测量不确定度模型及标准不确定度分量,给出了频率 1000Hz、声压级 84. 0dB 时的防腐磁翻板液位计电流输出声压灵敏度的测量结果及扩展不确定度。以上工作旨在为防腐磁翻板液位计电流输出声压灵敏度的准确校准提供技术支撑,为防腐磁翻板液位计电流输出特性校准装置的搭建提供技术依据。



|