服务热线:15195518515在线客服:1464856260
传真号码:0517-86801009
邮箱号码:1464856260@qq.com
网 址:http://www.j357b.cn
地 址:江苏省金湖县理士大道61号
浅析如何在稠油井下用循环水液位计进行液位测量
摘要 :稠油热采已经成为国内稠油开发的主流手段,目前对于井下蒸汽干度测量和射孔层吸热效率评价缺乏直接有效的手段。为此中油测井辽河分公司提出六参数井下吸汽剖面测井方案,并开发出独立配套的吸汽剖面解释软件。软件利用井下循环水液位计实测的井下流体密度、压力、温度、流量参数,结合油藏蒸汽饱和水和蒸汽特性关系,进而完成对蒸汽注入剖面的解释评价。
1 稠油蒸汽干度测量现状
稠油资源占到**石油储量的 70%,国内辽河、新疆、胜利等都有广泛的稠油分布。热力采油成为目前稠油开发的主要方式。热采注汽的原理是通过注汽提高油藏温度,降低原油粘度以增加井下稠油流动性,达到规模开采的目的。蒸汽通过井口地面锅炉制备,通过管线输送到井口,再经过井下管柱到产层。
为了避免结垢且保证热效率,锅炉输出蒸汽通常严格控制在 75%~80% 干度内,经过管道和井筒时,由于热损失,蒸汽干度进一步降低,蒸汽凝结水增加。蒸汽干度的测量通常在锅炉出口和井口完成,对井下干度和注汽层吸热能力评价缺乏有效的检测手段。
2 蒸汽注入剖面测井循环水液位计
循环水液位计设计采集沿井轴的连续伽马、磁定位、温度、压力、密度、流量六种参数信息。针对实际井下高温工况,循环水液位计设计时通过筛选高温元器件,对设备电路进行保温瓶设计封装等强化措施,设立了井下作业温度 350 ℃(4hr),*高耐温 400 ℃的设计工作指标。同时,循环水液位计串顶部设计独立存储短节,无需动用电缆,使用钢丝传输即可,避免了高温电缆损伤,同时降低作业成本和风险。
3 计算法方法
(1)密度。伽马光子与物质发生反应后放出的伽马射线强度与物质的密度有关 :

其中,Nc 湿蒸汽检测的射线强度,N0 放射源的射线强度,μ射线吸收系数,湿饱和蒸汽密度ρsw。通过放射性法检测伽马强度可以测出饱和湿蒸汽密度。
(2)蒸汽干度。在一定外界压力下,将水持续加热,引起液态水蒸汽压力持续增加直至和外界压力相等时,液态水吸热量到达饱和状态,并开始沸腾。此时对应的温度称为该压力下的饱和温度,该压力叫做饱和压力。饱和水继续被加热时,水变成气液混合体,温度不再升高,吸收的热量用于完成汽化的过程,所含能量被称之为汽化潜热。水的汽化潜热*高,是优良的注热载体,因而蒸汽注入大规模用于稠油开采中。
饱和蒸汽的温度 TS 和压力 PS 的关系在计算时可以用近似表示如下 :

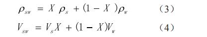
蒸汽的干度是指每千克湿蒸汽中含有干蒸汽的质量百分数。常规的蒸汽干度测量方法,包括人工化验法(炉水取样)、热力学法(抽汽取样)、非热力学法(放射、电导率、示踪剂等)、数学模型计算法。但无论何种测量方式,通常难以直接获得井下干度剖面信息。通过高温六参数测井循环水液位计,可以直接测量湿饱和蒸汽密度ρsw。根据定义,饱和蒸汽、饱和水的密度和比容与干度的关系如下 :

其中,ρs 为蒸汽密度(kg/m3),ρw 饱和水密度 (kg/m3),ρsw 为湿饱和蒸汽密度 (kg/m3),vs 为饱和蒸汽比容(m3/kg),vw 为饱和水比容 (m3/kg),vsw 为湿饱和蒸汽比容,X 为干度。
经过发展,W.S.Tortlke 及 S.M.Farouq Ali 提出了用于热采油藏数值模拟的饱和蒸汽特性函数关系式,并分析误差达到很小的程度。刘文章等人将关系式进行进一步总结,得到 :
①饱和水的密度 :

温度 T 为 K(273+℃),压力 P 为 kPa。通过六参数测井仪可以测量出井下温度、压力、密度等数据,即可通过蒸汽函数关系求计算深度的干度信息。
(3)井筒热损失。在实际生产中,由于井筒传热状态受到注热时间、油套管节箍传热系数偏差、保温管老化、水泥固井质量变化等影响,较难得到符合实际的准确数值。而通过六参数测井仪测量出干度信息后,湿蒸汽在井筒的干度损失可以直接反映当前阶段井筒径向热损失。
通过 Farouq Ali 模拟的饱和蒸汽特定函数关系可知:
①饱和水的比热焓 Hw :

在相邻两个计算深度,干度的变化可以用来表示径向热损失速率 :

式中,V 为循环水液位计测速 (m/h) ;rT 为导热油管内径 ;Hw1,Hw2 为井筒上下深度位置的饱和水热焓 (kJ/kg) ; Hs1,Hs2 为井筒上下深度位置蒸汽潜热焓 (kJ/kg) ;X1, X2 为对应的干度。
(4)吸汽量。
①吸汽量。计算射孔层位吸汽量,可以通过六参数循环水液位计的涡轮流量计实现。忽略低流速时涡轮的非线性响应及密度对涡轮转速的影响,则涡轮转速 RPS 与流速成正比 :


4 软件实现
*一步 :将原始数据进行预处理处理,包括单位标准化,较深等。
*二步 :如果采用井下定点测量方式,那么将密度温度压力流量数据按照计算采样频率进行线性插值。
*三步:按照拟合公式,计算水和蒸汽的密度和热焓。
*四步 :计算对应密度和比容数据下的蒸汽干度,并计算井筒热损失。
*五步 :通过涡轮流量数据计算射孔层位吸汽量和吸汽强度。
*六步:通过步骤三和步骤五计算射孔层位吸热量。
5 结论和认识
(1)通过六参数测量循环水液位计,结合蒸汽物理参数拟合方法,可以定量评估井筒热保热能力和注入层吸汽效果,并为甲方热注方案调整提供依据。
(2)温度压力和密度数据十分重要,是否能够获得准确的测井数据是关键。注汽井恶劣的井下环境,对循环水液位计的可靠性要求很高。



|